2024年6月国家发改委等5部门发布的《合成氨行业节能降碳专项行动计划》的通知明确指出,推进合成氨原料低碳代替,鼓励可再生能源发电和合成氨企业联营是支撑完成“十四五”能耗强度降低约束性指标的重大战略。因此,通过电化学手段实现绿氨的可持续合成是目前研究关注度很高的技术路线。作为一个涉及到八电子九质子的复杂反应,中间体的脱氧速率往往成为限制整个反应进程和产物分布的决速步骤,缺少高效稳定的催化剂以及对中间体脱氧速率步骤的深入理解,更是限制了硝酸根还原反应(NO3- reduction reaction,NITRR)技术的进一步发展。
近日,我校钦青教授与中科院福建物质结构研究、河南大学等研究机构合作,提出了一种将p嵌段金属Sn掺杂进d嵌段金属Ag合金化以产生独特的p-d轨道杂化效应的新型策略,通过PDOS计算,发现Sn的p轨道能级与Ag的d轨道能级匹配良好,表明产生了强烈的p-d轨道杂化相互作用,而p(Sn)-d(Ag)杂化轨道与NO2的π*轨道之间形成的强杂化峰更接近于费米能级。有效增强了*NO2中间体结合,加速了反应进程脱氧速率,显著提升了电化学合成氨的性能,SnAg在NITRR中的FE可达95.5±1.85 %,在-0.9 V时NH3产率高达482.3±14.1 mg h-1 mgcat.-1,超越了目前所报道的大部分文献,同时延伸到其他p嵌段金属(Bi,In)证实该策略在NITRR进程的普适性。结合实验数据和理论计算首次阐述了p-d轨道杂化效应在NITRR中的作用机制,为合理设计高效合成氨催化剂提供了启发性的见解。

图1. (a) Ag (b) SnAg的四维轨道、NO2分子和表面吸附NO2的PDOS。
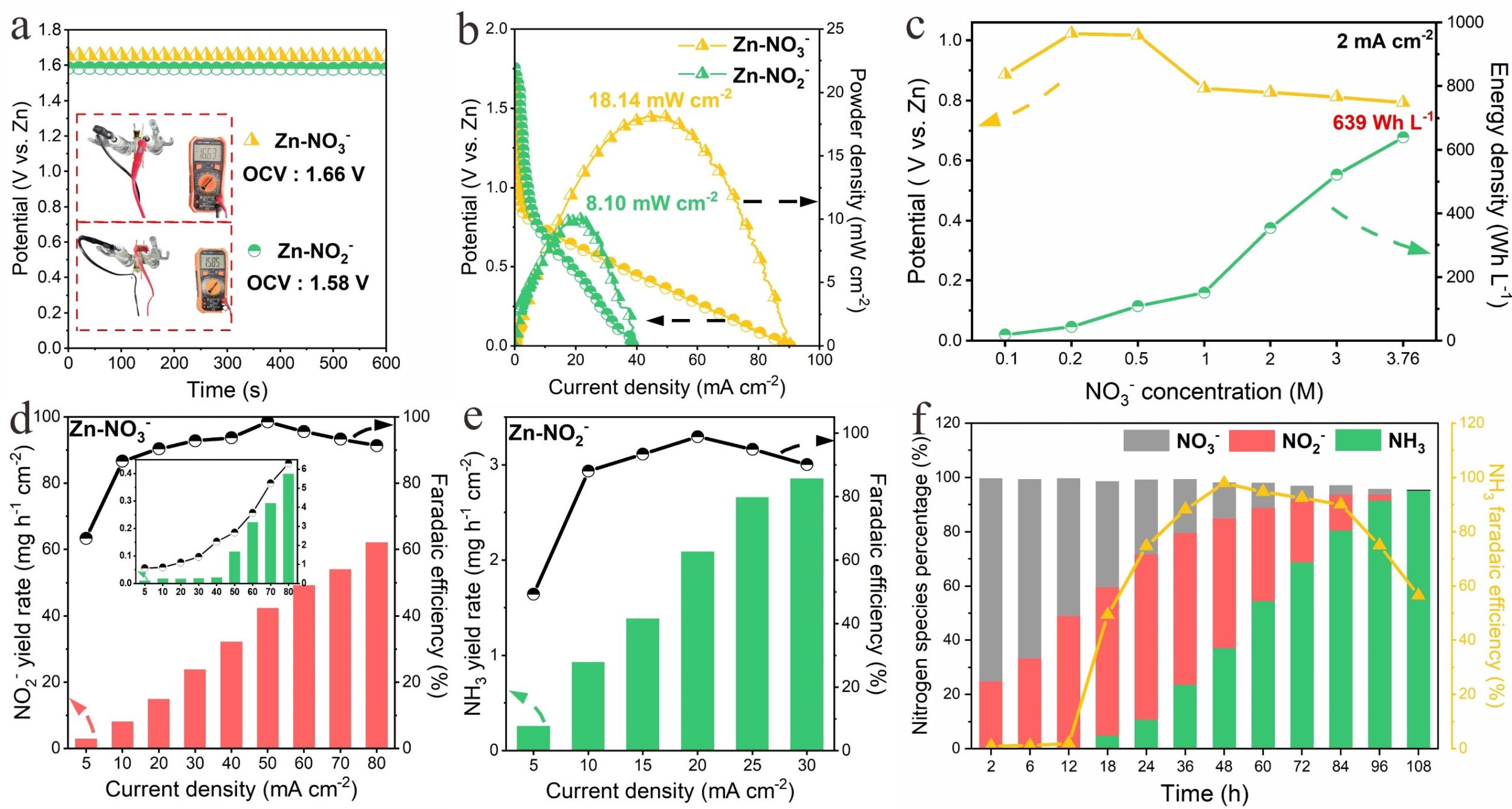
进一步探索该合成简便且廉价的电催化剂在工业应用中的前景,利用流动池达到了1.1 A cm-2的电流密度,FE为90.2%,产率为78.6 mg h-1 cm-2,实现了144小时安培级别的高效连续产氨,展示了一条将氨快速提取转化为缓释肥料鸟粪石的技术路线。同时还组装了Zn-NO3-电池,具备18.1 mW cm-2的功率密度和108小时的稳定运行,实现了供电和氨生产的双重目标。

图2.用SnAg电催化剂从电解液中合成鸟粪石产品的工艺示意图。

图3.用SnAg和Zn箔研究了组合Zn-NO3-和Zn-NO2-水溶液电池的电化学性能。
该论文成果以“p-d Orbital Hybridization in Ag-based Electrocatalysts for Enhanced Nitrate-to-Ammonia Conversion”为题发表在国际化学顶级期刊Angew. Chem. Int. Ed.DOI:10.1002/202410251上。安徽师范大学为论文的第一完成单位,论文主要由2021级研究生吴官正完成,大型仪器中心余锐老师提供了技术支持和电镜分析,2020级孙孟苗、2022级蒋家迪和杨懿栋参与了部分实验工作。
钦青教授团队组建三年以来,致力于新能源催化材料的可控合成制备以及含C、N高附加值产品电合成体系的开发,相继在电催化合成氨、电催化合成尿素,生物质电重整制氢、生物质可逆转化等绿色化学品电合成领域取得重要进展,以通讯(含共同)作者身份在Angewandte Chemie International Edition (4), Journal of the American Chemical Society (1), ACS Nano (1), ACS Applied Materials & Interfaces (1), Nanoscale (1)等国际期刊上发表多篇论文,并撰写英文书籍一章(Carbon Based Materials for CO2 Photo/Electro Conversion." CO2 Conversion and Utilization: Photocatalytical and Electrochemical Methods and Applications (2023): 251-281. John Wiley & Sons)。
以上工作得到了国家自然科学基金委、安徽省自然科学基金、安徽师范大学大学高层次人才启动经费等项目的大力支持。